Powdery Cross
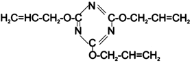
学 名:三聚氰酸三烯丙酯 2,4,6-三( 烯丙氧基)均三嗪
结构式:

分子式:C12H15O3N3
分子量:249.27
功 用:TAC为三官能团化合物,可作为橡胶和塑料的硫化和辅助交联剂。TAC是乙丙橡胶,氯化聚乙烯和聚烯烃化合物的有效交联剂。TAC对于PVC塑料可作为光辐射交联剂或光敏剂,一般用量1-1.5份。
质量指标:
|
项 目 |
指 标 |
|
|
外观 |
白色液体(温度大于30℃) | 白色块状固体或粉末(温度小于30℃) |
|
灼烧余量% ≤ |
/ |
30 |
|
含量% ≥ |
99 |
/ |
|
密度 |
1.114-1.116 |
/ |
|
凝固点 |
26 ℃ |
/ |
包 装:纸桶,内衬PVC薄膜袋 净重 25kg; 铁桶或塑料桶,净重200kg或25kg。
贮 存:贮于阴凉通风干燥处,防火、防潮、防晒。

