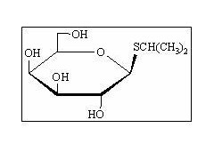
异丙基-beta-D-硫代半乳糖苷(简称IPTG)
IPTG,Isopropyl-beta-D-thiogalactopyranoside,D-beta-Isopropylthiogalactioside
M.F. C9H18O5S
M.W. 238.30
CAS 367-93-1
EINECS 206-703-0
用途 生化试剂,半乳糖苷酶底物..国内实现大规模生产,纯度〉99%
半乳糖苷酶底物-硫代糖
367-93-1 Isopropyl-β-D-thiogalactopyranoside, D-beta-Isopropylthiogalactioside, IPTG 异丙基-β-D-硫代半乳糖苷(简称IPTG)
367-93-1 Ethyl-1-thio-β-D-galactopyranoside 1-硫代-β-D-乙基半乳糖苷
800376-82-3, 63407-54-5 Phenylethyl b-D-thiogalactopyranoside 苯乙基-beta-1-硫代-D-半乳糖苷
16758-34-2 Phenyl 1-thio-b-D-galactopyranoside 1-硫代-β-D-苯基半乳糖苷
1158-17-4 o-Nitrophenylsulfenyl-1-thio-beta-D-galactoside 邻硝基苯基-β-D-硫代半乳糖苷
1230-27-9 4-Nitrophenylsulfenyl-1-thio-beta-D-galactoside 对硝基苯基-β-D-硫代半乳糖苷
35785-20-7 4-Aminobenzyl b-D-thiogalactopyranoside 对氨基苯基-β-D-硫代半乳糖苷
35785-19-4 4-Nitrobenzyl b-D-thiogalactopyranoside 对硝基苯基-β-D-硫代半乳糖苷
Methyl-β-D-thiogalactopyranoside 甲基-β-D-硫代半乳糖苷
29558-05-2 4-Aminophenyl b-D-thiogalactopyranoside 4-氨基苯基-beta-硫代半乳糖苷
38, 2-乙酰氨基葡萄糖苷酶底物-beta
3459-18-5 4-Nitrophenyl 2-acetamido-2-deoxy-b-D-glucopyranoside,pNP-NAG 对硝基苯基-2-乙酰氨基-2-脱氧-beta-D-葡萄糖苷
13264-92-1 2-Nitrophenyl 2-acetamido-2-deoxy-b-D-glucopyranoside 邻硝基苯基-2-乙酰氨基-2-脱氧-beta-D-葡萄糖苷
5574-80-1 Phenyl 2-acetamido-2-deoxy-b-D-glucopyranoside 苯基-2-乙酰氨基-2-脱氧-beta-D-葡萄糖苷
10329-98-3 1-Naphthyl 2-acetamido-2-deoxy-b-D-glucopyranoside 1-萘基-2-乙酰氨基-2-脱氧-beta-D-葡萄糖苷
131531-82-3 2-Naphthyl 2-acetamido-2-deoxy-b-D-glucopyranoside 2-萘基-2-乙酰氨基-2-脱氧-beta-D-葡萄糖苷
135608-48-9 4-Formylphenyl 2-acetamido-2-deoxy-b-D-glucopyranoside 对甲酰基苯基-2-乙酰氨基-2-脱氧-beta-D-葡萄糖苷
15430-78-1 2-Formylphenyl 2-acetamido-2-deoxy-b-D-glucopyranoside 邻甲酰基苯基-2-乙酰氨基-2-脱氧-beta-D-葡萄糖苷
6835-61-6 2-Methoxycarbonylphenyl 2-acetamido-2-deoxy-b-D-glucopyranoside 邻甲氧羰基苯基-2-乙酰氨基-2-脱氧-beta-D-葡萄糖苷
135608-47-8 4-Fluorophenyl 2-acetamido-2-deoxy-b-D-glucopyranoside 4-氟苯基-2-乙酰氨基-2-脱氧-beta-D-葡萄糖苷
50730-05-7 4-Chlorophenyl 2-acetamido-2-deoxy-b-D-glucopyranoside 4-氯苯基-2-乙酰氨基-2-脱氧-beta-D-葡萄糖苷
38229-80-0 4-Bromophenyl 2-acetamido-2-deoxy-b-D-glucopyranoside 4-溴苯基-2-乙酰氨基-2-脱氧-beta-D-葡萄糖苷
38229-81-1 4-Iodophenyl 2-acetamido-2-deoxy-b-D-glucopyranoside 4-碘苯基-2-乙酰氨基-2-脱氧-beta-D-葡萄糖苷
103614-82-0 2-chloro-4-nitrophenyl-N-acetyl-beta-D-glucosaminide 2-氯-4-硝基苯基-2-乙酰氨基-2-脱氧-beta-D-葡萄糖苷
4264-82-8 5-Bromo-4-chloro-3-indolyl-n-acetyl-beta-D-glucosaminide; x-glucosaminide 5-溴-4-氯-3-吲哚基-N-乙酰-beta-D-氨基葡萄糖苷
263746-45-8 2-Methylphenyl 2-acetamido-2-deoxy-b-D-glucopyranoside 邻甲基苯基-2-乙酰氨基-2-脱氧-beta-D-葡萄糖苷
35694-99-6 4-Methylphenyl 2-acetamido-2-deoxy-b-D-glucopyranoside 对甲基苯基-2-乙酰氨基-2-脱氧-beta-D-葡萄糖苷
37067-30-4 4-Methylumbelliferyl 2-acetamido-2-deoxy-b-D-glucopyranoside 4-甲基伞形酮酰-2-乙酰氨基-2-脱氧-beta-吡喃葡萄糖苷
197574-94-0 Phenylethyl 2-acetamido-2-deoxy-b-D-glucopyranoside 苯乙基-2-乙酰氨基-2-脱氧-beta-吡喃葡萄糖苷
220341-09-3 Phenylpropyl 2-acetamido-2-deoxy-b-D-glucopyranoside 苯丙基-2-乙酰氨基-2-脱氧-beta-吡喃葡萄糖苷
12465-10-7 4-Aminophenyl 2-acetamido-2-deoxy-b-D-glucopyranoside 对氨基苯基-2-乙酰氨基-2-脱氧-beta-D-葡萄糖苷
6-Bromo-2-naphthyl 2-acetamido-2-deoxy-b-D-glucopyranoside 6-溴-2-萘基-2-乙酰氨基-2-脱氧-beta-D-葡萄糖苷
156117-44-1 6-Chloro-3-indolyl 2-acetamido-2-deoxy-b-D-glucopyranoside 6-氯-3-吲哚-2-乙酰氨基-2-脱氧-b-D-葡萄糖苷
58225-98-2 5-Bromo-3-indolyl-2-acetamido-2-deoxy-b-D-glucopyranoside 5-溴-3-吲哚-2-乙酰氨基-2-脱氧-b-D-葡萄糖苷

