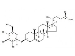
供应胡萝卜苷 ,又名β-胡萝卜苷,英文名:Daucosterol;β-Daucosterin;β-Sitosterol 3-O-β-D-glucopyranoside,CAS No:474-58-8。纯天然提取,经过NMR结构确证和HPLC纯度检测,含量98.5%以上。该产品用于含量测定,药理试剂。
可根据客户需求,提供多种规格的包装。量大优惠。本公司可为客体提供多种标准品的定制。
上海永恒生物科技有限公司,位于上海市青浦区科技创业中心,公司拥有约300平方米的研发中心,具备各种分离纯化填料及多台分析型和制备型HPLC。公司主营中药标准品、中药对照品和中药提取物。经过多年的研发,公司目前已可以自主生产约200余种中药标准品。

