会员登录|免费注册|忘记密码|管理入口 返回主站||保存桌面|手机浏览|联系方式|购物车
企业会员第1年

上海永恒生物科技有限公司  

中药标准品,中药单体,中药提出物,中药新药开发

搜索
新闻中心
  • 暂无新闻
产品分类
  • 暂无分类
联系方式
  • 联系人:顾正兵
  • 电话:021-69734790
  • 邮件:zbg@forever-biotech.com
  • 传真:021-69734790
  • QQ:646670394
站内搜索
 
荣誉资质
  • 暂未上传
友情链接
  • 暂无链接
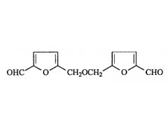
首页 > 供应产品 > 双-(5-甲酰基糠基)醚
双-(5-甲酰基糠基)醚
单价 面议对比
询价 暂无
发货 上海付款后3天内
规格 10mg 20mg 1g
过期 长期有效
更新 2015-01-05 09:29
 
详细信息
供应-5-甲酰基糠基)醚,实验室自制, 经过NMR确证, 纯度经过HPLC测定98%以上。规格:20mg; 1g... 本公司可提供多种标准品的定制。
公司一贯坚持“质量第一,用户至上,优质服务,信守合同”的宗旨,凭借着高质量的产品,良好的信誉,优质的服务,产品畅销全国.竭诚与国内外商家双赢合作,共同发展,共创辉煌!