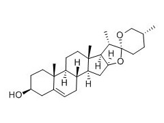
产品中文名称:薯蓣皂苷元
英文名:Diosgenin
中文别名:薯蓣皂素;地奥配质
CAS登录号:512-04-9
分子式:C27H42O3
分子量:414.61
外观:白色至淡黄色片状或针状结晶。
用途:薯蓣皂苷元用于含量测定/鉴定/药理实验等。
纯度:98%以上。
用法:色谱条件:流动相;甲醇 :水(84:16)检测波长203nm(仅供参考) 。
提取来源:盾叶薯蓣(D.Zingiberensis C. H. Wright)。
旋光度:-129.3°(CHCl3)。
溶解性:薯蓣皂苷元易溶于汽油、乙醇,氯仿等有机溶剂,不溶于水。
熔点:204-207℃。
药理药效:薯蓣皂素是一种植物类固醇,诱导结肠癌细胞凋亡和诱导骨肉瘤细胞凋亡,细胞周期阻滞和COX活性。
贮存条件:4℃冷藏、密封、避光 。
现货直销,款到3天内发货,非人为造成的产品质量问题,我司负责退货或者换货。

