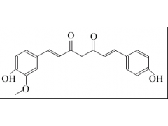
产品中文名称:去甲氧基姜黄素
英文名:Demethoxycurcumin
中文别名:脱甲氧姜黄
英文别名:Curcumin II
CAS登录号:24939-17-1
分子式:C20H18O5
分子量:338.35
外观:黄色粉末
用途:去甲氧基姜黄素用于含量测定/鉴定/药理实验等。
提取来源:姜科植物姜黄Curcuma longa L.的根茎。
去甲氧基姜黄素贮存条件:4℃冷藏、密封、避光
货期:款到3天内发去甲氧基姜黄素
备注:去甲氧基姜黄素非人为造成的产品质量问题,我司负责退货或者换货
南通飞宇生物科技有限公司专业生产供应天然植物单体,中药对照品去甲氧基姜黄素,标准品去甲氧基姜黄素,生物试剂,ELISA试剂盒,酶,鲎试剂等等
规格:去甲氧基姜黄素最小标准规格10mg-20mg/支,去甲氧基姜黄素其它规格:100mg,1g,5g,10g等.
南通飞宇生物科技有限公司供应去甲氧基姜黄素。

