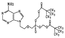
中文: 阿德福韦酯
英文: Adefovir Dipivoxil
分子式: C8H12N5O4P
CAS: 142340-99-6
标准: 企标
|
中文名:阿德福韦酯 CAS号: 142340-99-6 结构式: 分子式: C8H12N5O4P 用途: 乙肝,抑制对拉米夫定产生抗药性的乙肝病毒 质量介绍: 外观: 白色结晶或类白色结晶性粉末 含量: ≥99.0% 熔点: 99-101℃ 包装:0.1-1kg/包;5-10kg/桶 |


