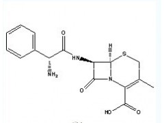
头孢氨苄
英文名称:Cefalexin
别名:头孢菌素Ⅳ、先锋霉素Ⅳ、头孢力新、苯甘孢霉素、西保力、头孢立新。
化学名:(6R,7R)-3-甲基-7-[(R)-2-氨基-2-苯乙酰氨基]-8-氧代-5-硫杂-1-氮杂双环[4.2.0]辛-2-烯-2-甲酸—水合物
作用与用途:本品为半合成的第一代口服头孢霉素,抗菌谱与头孢噻吩、头孢噻啶基本相同,抗菌效力较两者弱,但本品的特点是耐酸,口服吸收良好。对耐药金葡菌有良好抗菌作用。 主要用于敏感菌所致的呼吸道感染、泌尿道感染、妇产科感染、皮肤及软组织感染、淋病等
尊敬的客户:
感谢您光顾我公司网站,如果有何意见和建议,欢迎您与我们联系。愿我们合作愉快!
湖北远成药业有限公司 咨询热线 027-88060699 18062666938
热卖产品:咖啡酸|氨甲环酸|熊果苷|丙酸氯倍他索|葡醛内酯|芦丁|茶多酚|L-精氨酸出现被限制词语|倍他米松|氢氯噻嗪|奥美拉唑硫醚|米氮平|茶多酚|禁发 盐酸特比萘芬
远成药业因为专业,值得信赖!我们恭候您的垂询!

