延胡索酸泰妙菌素
产品名称: 延胡索酸泰妙菌素
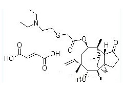
英文名称:Tiamulin Fumarate
分 子 式:C28H47NO4S-C4H4O4
分 子 量:609.8
熔 点:143-149℃
外观性状:白色或类白色结晶粉末
产品含量:98%
包装规格:25kg/桶
产品用途:抗菌力强大,对引起呼吸道疾病的肺炎支原体、引起回肠炎的劳索尼亚菌,以及猪痢疾螺旋病菌具有强大杀灭作用;能有效杀灭引起鸡支原体病的鸡败血支原体和滑液支原体。
尊敬的客户:
感谢您光顾我公司网站,如果有何意见和建议,欢迎您与我们联系。愿我们合作愉快!
湖北远成药业有限公司 咨询热线 027-88060699 18062666938
热卖产品:咖啡酸|氨甲环酸|熊果苷|丙酸氯倍他索|葡醛内酯|芦丁|茶多酚|L-精氨酸出现被限制词语|倍他米松|氢氯噻嗪|奥美拉唑硫醚|米氮平|茶多酚|禁发 盐酸特比萘芬
远成药业因为专业,值得信赖!我们恭候您的垂询!

