会员登录
|
免费注册
|
忘记密码
|
管理入口
返回主站
|
|
保存桌面
|
手机浏览
|
联系方式
|
购物车
企业会员
第1年
浙江湃肽生物有限公司
生产、销售、研发:多肽类系列产品原料药(醋酸催产素、醋酸格拉替雷、特利加压素、胸腺五肽、醋酸亮丙瑞林、利拉鲁肽、比伐卢定、醋酸卡贝缩宫素、醋酸艾塞那肽)及医药中间体,提供技术服务及成果转让;生产、销售、研发:多肽类化妆品原料及化妆品;货物进出口;技术进出口 。
网站首页
公司介绍
供应产品
采购清单
公司新闻
荣誉资质
人才招聘
联系方式
品牌展示
展会信息
友情链接
供应产品
采购清单
公司新闻
荣誉资质
人才招聘
品牌展示
展会信息
友情链接
搜索
首页
>
供应产品
>
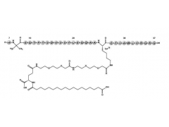
索马鲁肽(Semaglutide)
索马鲁肽(Semaglutide)
单价
面议
对比
询价
暂无
发货
浙江绍兴市
付款后3天内
品牌
浙江湃肽
过期
长期有效
更新
2022-02-22 14:10
详细信息
新闻中心
暂无新闻
产品分类
暂无分类
联系方式
联系人:李经理
电话:0575-83835818
邮件:sales10@peptide-china.com
微信:
13819553630
站内搜索
供应产品
采购清单
公司新闻
荣誉资质
人才招聘
品牌展示
展会信息
友情链接
荣誉资质
暂未上传
友情链接
中华化工网
©2026 浙江湃肽生物有限公司 版权所有 技术支持:
化工网