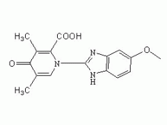
[英文名]:Desmethoxy dehydro impurity A
[化学名]:1,4-dihydro-1-(5-hydroxy-1H-benzimidazol-2-yl)-3,5-dimethyl-4-oxo-2-pyridinecarboxylicacid
[CAS NO]:1227380-90-6
[标准]:Enterprise standard
[规格]:98%(min)
[结构式]:
[分子式]:C16H15N3O4
[分子量]:313.31
[结构确证]:MS、NMR
|
|||||||||||||||||||||||||||
[英文名]:Desmethoxy dehydro impurity A
[化学名]:1,4-dihydro-1-(5-hydroxy-1H-benzimidazol-2-yl)-3,5-dimethyl-4-oxo-2-pyridinecarboxylicacid
[CAS NO]:1227380-90-6
[标准]:Enterprise standard
[规格]:98%(min)
[结构式]:
[分子式]:C16H15N3O4
[分子量]:313.31
[结构确证]:MS、NMR