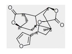
产品中文名称:黄独素B
英文名:Diosbulbin B
中文别名:黄独乙素;黄药子素B
CAS登录号:20086-06-0
分子式:C19H20O6
分子量:344.36
外观:白色针晶粉。
用途:黄独素B用于含量测定/鉴定/药理实验等。
纯度: 98%以上。
用法:色谱条件:流动相:甲醇-水-磷酸(40:60:0.08),流速0.8 ml·min-1,检测波长为215 nm (仅供参考)。
提取来源:薯蓣科植物黄独Rhizoma Dioscoreae Bulbiferae的块茎。
溶解性:黄独素B可溶于DMSO,微溶于甲醇,不溶于水、石油醚。
熔点:276-278℃。
药理药效:散结消瘿, 清热解毒、 凉血止血、 抗癌的功效。
贮存条件:4℃冷藏、密封、避光。
现货直销,款到3天内发货,非人为造成的产品质量问题,我司负责退货或者换货。

