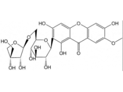
产品中文名称:远志山酮III
英文名:Polygalaxanthone III
中文别名:远志口山酮
英文别名:2-(6-O-D-Apio-beta-D-furanosyl-beta-D-glucopyranosyl)-1,3,6-trihydroxy-7-methoxy-9H-xanthen-9-one
CAS登录号:162857-78-5
分子式:C25H28O15
分子量:568.39
外观:白色至淡黄色粉末。
用途:远志山酮III用于含量测定/鉴定/药理实验等。
纯度: 98%以上。
提取来源:西南远志Polygala crotalarioides。
溶解性:远志山酮III可溶于DMSO、热甲醇,不溶于石油醚、氯仿。
熔点:180-183℃。
药理药效:具有一定的清热解毒、消炎的作用。
有效期:暂定2年。

