禁发 盐酸克林霉素
产品名称: 禁发 盐酸克林霉素
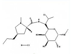
英文名称:Clindamycin Hydrochloride
产品类别: 医药原料和中间体
化 学 式: C18H33ClN2O5S.HCl
CAS编号: 21462-39-5
质量标准: 企标
外观性状:白色结晶性粉末
产品含量: 99%
包装规格: 25KG/桶
产品用途:用作药物中间体,生产克林霉素磷酸酯。
尊敬的客户:
感谢您光顾我公司网站,如果有何意见和建议,欢迎您与我们联系。愿我们合作愉快!
湖北远成药业有限公司 咨询热线 027-88060699 18062666938
热卖产品:咖啡酸|氨甲环酸|熊果苷|丙酸氯倍他索|葡醛内酯|芦丁|茶多酚|L-精氨酸出现被限制词语|倍他米松|氢氯噻嗪|奥美拉唑硫醚|米氮平|茶多酚|禁发 盐酸特比萘芬
远成药业因为专业,值得信赖!我们恭候您的垂询!

