产品名称:5,5-二甲基海因
|
项 目 |
指 标 |
|
外 观 |
白色结晶体 |
|
含量(%) |
≥99% |
|
熔点(℃) |
174~181 |
|
水分(%) |
≤0.5% |
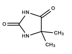
化学名称:5,5-二甲基乙内酰脲,英文缩写:DMH
分子式 :C5H8N2O2
CAS NO.:77-71-4
分子量:128.13
性 质:本品为白色结晶性粉末,易溶于水及溶于乙醇、**、乙酸**等,不溶于脂肪烃及三氯乙烯等。干燥时稳定。
用 途:本品主要用于合成卤化海因和羟甲基海因。还可用于合成海因型环氧树脂和海因型甲醛树脂。加热水解制得二甲基甘氨酸;与金属有机化合物反应制得刹虫剂、杀螨剂等。
质量指标:
|
项 目 |
指 标 |
|
外 观 |
白色结晶体 |
|
含量(%) |
≥99% |
|
熔点(℃) |
174~181 |
|
水分(%) |
≤0.5% |
储 运:本品应储存在阴凉干燥的环境中。严禁与有毒有害物质混放,以免污染。
包 装:并品采用双层包装:内层为聚乙烯塑料袋密封,外层为塑料编织袋。每袋净重25Kg;外贸出口也可用集装袋750Kg/袋,或根据用户需要包装。
储 运:本品应储存在阴凉干燥的环境中。严禁与有毒有害物质混放,以免污染。
本品为非危险品,可按一般化学品运输。

