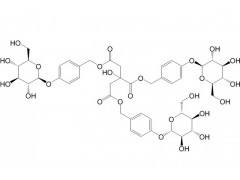
nkl-00217
中文名称:巴利森苷
中文别称:巴利森苷A;柠檬酸酯A;派立辛
英文名称:Parishin A
英文别名: Parishin
C A S号:62499-28-9
纯 度:HPLC≥97%
分 子 式:C45H56O25
分 子 量:996.91
沸点: 1137.0±65.0 °C | Condition
密度: 1.586±0.06 g/cm3 | Condition: Temp: 20 °C
值: 11.15±0.29 | Condition: Most Acidic Temp: 25 °C
规格:10mg,20mg,50mg;可根据客户需求包装、定制
储存条件: 低温,避光、干燥、密封
用途: 用于鉴别、含量测定、药理实验、活性筛选等科研、实验室使用;不得直接用于人体
供应商:成都钠钶锂生物科技有限公司


