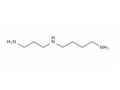
中文名称:亚精胺
中文别名:N-(3-氨基丙基)-1,4-丁二胺
英文名称:Spermidine
英文别名:N-(3-Aminopropyl)-1,4-butanediamine; Spermidine N-(3-Aminopropyl)-1,4-butanediamine; 4-azaoctamethylenediamine; N-(3-Aminopropyl)-1,4-diaminobutane~1,8-Diamino-4-azaoctane; N-(3-Aminopropyl)-1,4-butandiamine; N-(3-aminopropyl)butane-1,4-diamine; N-(3-ammoniopropyl)butane-1,4-diaminium
CAS号:124-20-9
分子式:C7H22N3
分子量:148.268
含量:98%
外观:无色透明液体
包装:1公斤/瓶
用途:膳食补充原料


