
FD2000脉冲强光杀菌设备简介
脉冲强光杀菌是一种新型非热杀菌技术,采用瞬时释放出的脉冲光能作用于目标微生物,在光热和光化学效应的共同作用下,微生物自身被瞬间加热而出现细胞破裂,从而杀灭食品和包装上多种微生物,有效保持食品质量,延长货架期。 这种技术与传统的杀菌方法相比,具有处理时间短、操作控制方便、不与物料和器械直接接触、无化学污染等优点,可在短时间内大幅度降低微生物菌群数量,有效杀死食品表面的致病菌和Putrefactive bacteria菌,无化合物残留,对食品品质破坏小。
FD2000脉冲强光杀菌设备原理
光子通量是由灯产生的,它被要杀菌的基质吸收。当底物的厚度很小时,比如细菌的细胞壁,光子通量会导致细胞壁磨损甚至部分蒸发。此外,很强的电子电流会产生强大的电磁场.强大的电磁场和高光子通量的结合对细菌以及酵母、真菌和病毒具有破坏性的物理影响(Kleijn, 2018)。 FD2000每闪发出2x1021个光子。这些光子在被辐照的物质上被转换成热。当光子被吸收时,它会失去电能并转化为热能(Kleijn, 2018)。闪光持续时间非常重要。举例来说,如果闪光的频率是1000Wsec,那么闪光的持续时间为One in a million秒,峰值能量为1MW(兆瓦)。光子都是在几分之一秒内发出的。杀死细菌的是光子密度。

FD2000脉冲强光杀菌设备应用案例

表3. 暴露于单增李斯特菌的即食小吃检测结果(Bos, 2016)

表4:沙门氏菌对奥利瓦产品的检测结果(Bos, 2016)

1. 果酱、果干等即食小吃杀菌实验结果
客户案例: Oliva Tapas & More委托第三方检测结果,并因此购买了2台

表1. 暴露于单增李斯特菌的Oliva产品的检测结果(Bos,2016)

表2. 暴露于沙门氏菌的Oliva产品的检测结果(Bos,2016)
2. 植物致病真菌实验结果

表3. 一或两次闪光下、不同光源距离脉冲强光处理下镰刀菌的减菌效果

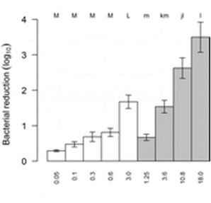
图1. 经UV- c(白色条)和脉冲UV(灰色条)光处理干净鸡蛋上沙门氏菌的减少情况

图2. 蛋壳表面经紫外光处理后的扫描电镜观察图
FD2000脉冲强光杀菌设备用户

FD2000脉冲强光杀菌设备技术参数(部分)
1. 闪光能量1,850焦耳/闪光
2. 闪光频率1闪光/秒



