手机版
二维码
购物车
选择频道搜索
化工产品
化工求购
新闻资讯
公司库
化工展会
人才招聘
供应
化工
塑料
油漆
石油
甲醇
防腐
仪器
环氧树脂
环保设备
首页
化工产品
化工求购
新闻资讯
公司库
化工展会
人才招聘
化学商城
首页
>
化工产品
>
医药与生物化工
>
原料药
>
抗肿瘤药
供应 氟维司群
单价
面议
对比
询价
暂无
发货
浙江杭州市
付款后3天内
型号
129453-61-8
规格
99%
过期
长期有效
更新
2013-04-16 16:23
杭州荣大医药化工有限公司
企业会员
第15年
资料
未认证
保证金
未缴纳
浙江-杭州市
上次登录 2013-04-16
•
赵阳 (女士) 经理
进入主页
更多化工产品
详细说明
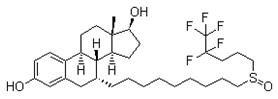
氟维司群
英文名:
Fulvstrant
CAS No.:
129453-61-8
规格:
99%
外观:
白色粉末
包装:
铝箔袋+纸板箱
结构式:
点赞
0
举报
收藏
0
评论
0
分享
36
更多
>
本企业其它产品
盐酸帕洛诺司琼 Palon
丙烯酸钠Sodium acryl
拉帕替尼中间体
达托霉素 Daptomycin
厂家直销 二甲苯磺酸
厂家直销 甲苯磺酸索
厂家直销 甲磺酸伊玛
厂家直销 伊班膦酸钠
网站首页
|
VIP介绍
|
VIP区别
|
VIP优势
|
成功案例
|
联系方式
|
韩国REACH(K-REACH)注册
|
化工网会员活动
|
ERP管理系统
|
化学网站建设
|
关于Chem234
|
网站地图
|
排名推广
|
广告服务
|
积分换礼
|
RSS订阅
|
违规举报
|
鲁ICP备14010393号-3
版权所有: 2008-2023 中华化工网(CHEM234.COM) 版权所有(保留一切权利)All Rights Reserved.
网站客服微信:15288857388